التربية تدعو نحو (4) آلاف مرشّحا للتعيين لحضور الاختبار التنافسي الالكتروني - اسماء
جو 24 :
أو على الرابط المباشر: اضغط هنا
دعت وزارة التربية والتعليم المرشحين وفقاً لأسس الإستقطاب والترشيح من مخزون طلبات التوظيف في هيئة الخدمة والإدارة العامة لعام 2025 لغايات التعيين لإشغال وظيفة (معلم) لتخصصات بكالوريوس (التربية الرياضية، علم الحاسب الآلي، إدارة الأعمال)، والمرشحين لغايات الابتعاث لبرنامج الدبلوم العالي لإعداد وتأهيل المعلمين قبل الخدمة المنتهي بالتعيين لباقي التخصصات، حضور الاختبار التنافسي الإلكتروني والذي سيعقد في مركز تقييم الكفايات/ هيئة الخدمة والإدارة العامة، الكائن في طبربور- شارع الأقصى وفقاً للكفايات الآتية:
- أولًا: الكفايات المعرفية التخصصية وتعطى 50% من العلامة الكلية.
- ثانيًا: الكفايات التربوية العامة وتعطى 20% من العلامة الكلية.
- ثالثًا: الكفايات الوظيفية العامة وتعطى 20% من العلامة الكلية.
- رابعًا: الكفايات المهنية للتخصص وتعطى 10% من العلامة الكلية.
ونوّهت الوزارة أن الإعلانات التي تم التقديم عليها من خلال نظام الاستقطاب الخارجي(الإعلان المفتوح) بتاريخ 20/4/2025 ولغاية 28/4/2025 و 7/5/2025 ولغاية 15/5/2025 سوف يتم تحديد موعد الاختبار التنافسي لمن انطبقت عليهم شروط إشغالها خلال الفترة القادمة.
ملاحظات هامة:
•ضرورة الإلتزام بالحضور قبل نصف ساعة من الموعد المحدد.
•يمنع دخول المرافقين إلى حرم مركز التقييم.
•إحضار البطاقة الشخصية الصادرة عن دائرة الأحوال المدنية والجوازات سارية المفعول.
•يمنع إدخال الهاتف الخلوي إلى قاعة الإختبار.
•يسمح للممتحن إحضار آلة حاسبة إذا دعت الحاجة.
•التقيد التام بموعد الجلسة والقاعة.
•لن يسمح بالدخول إلى قاعة الإختبار بعد بدء الإختبار.
•كل من لا يحضر الإختبار يعتبر مستنكفًا.
•سيتم نشر أسماء الناجحين على الموقع الإلكتروني www.spac.gov.jo.
•يمكنك الدخول إلى الرابط التالي للإطلاع على الكفايات التربوية المطلوبة للوظائف التعليمية:-
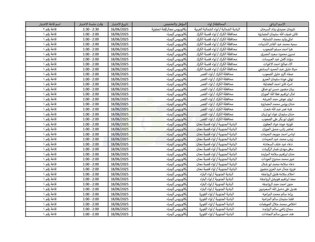
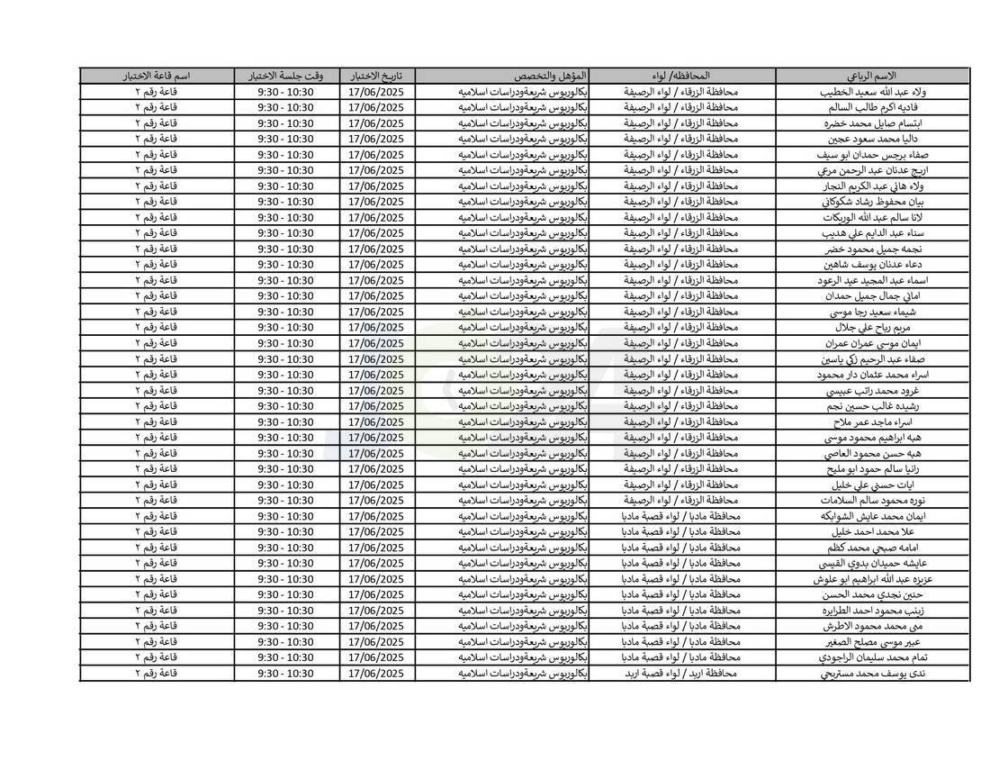
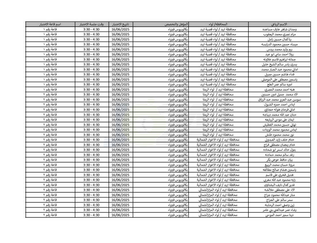
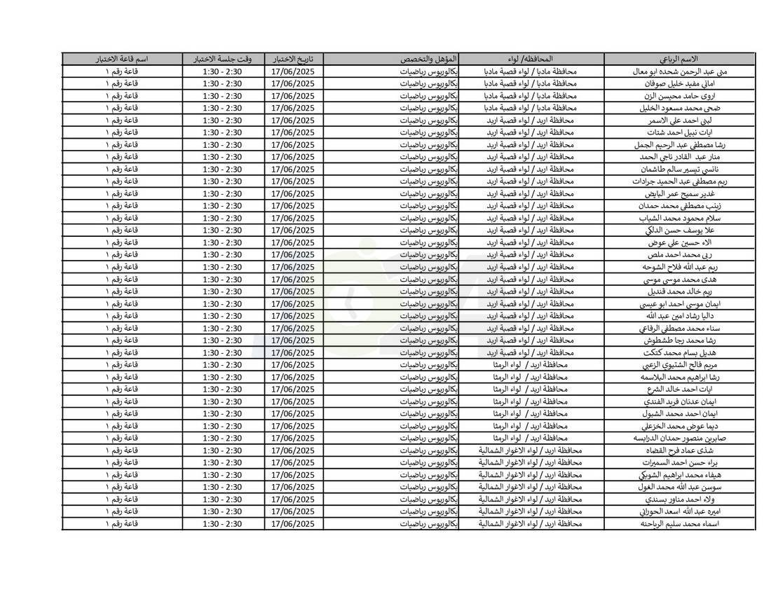
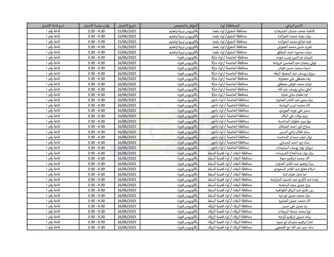
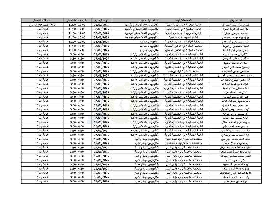
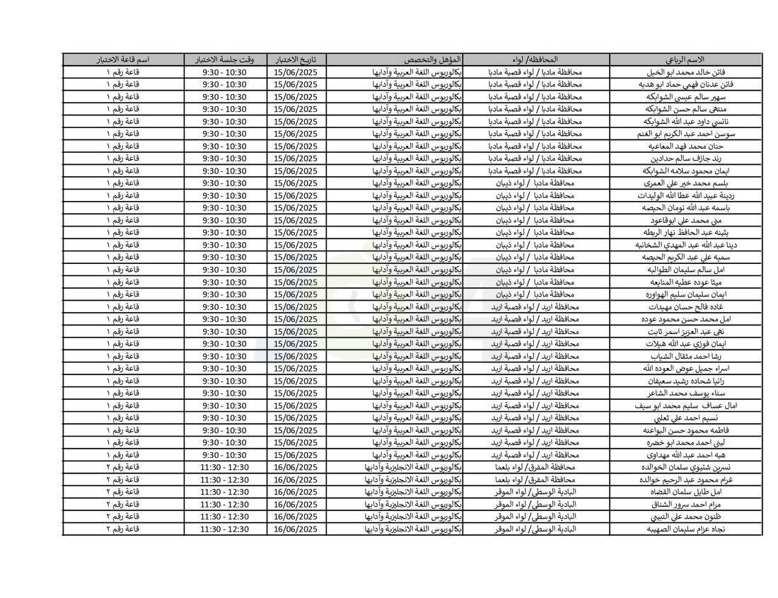
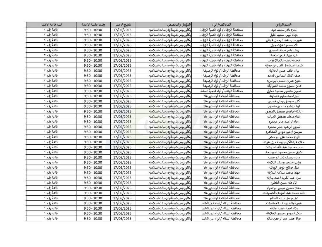
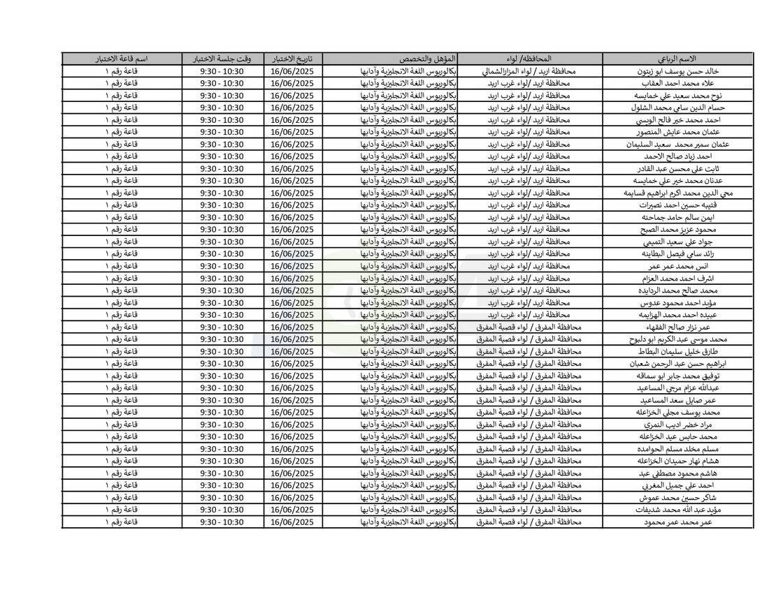
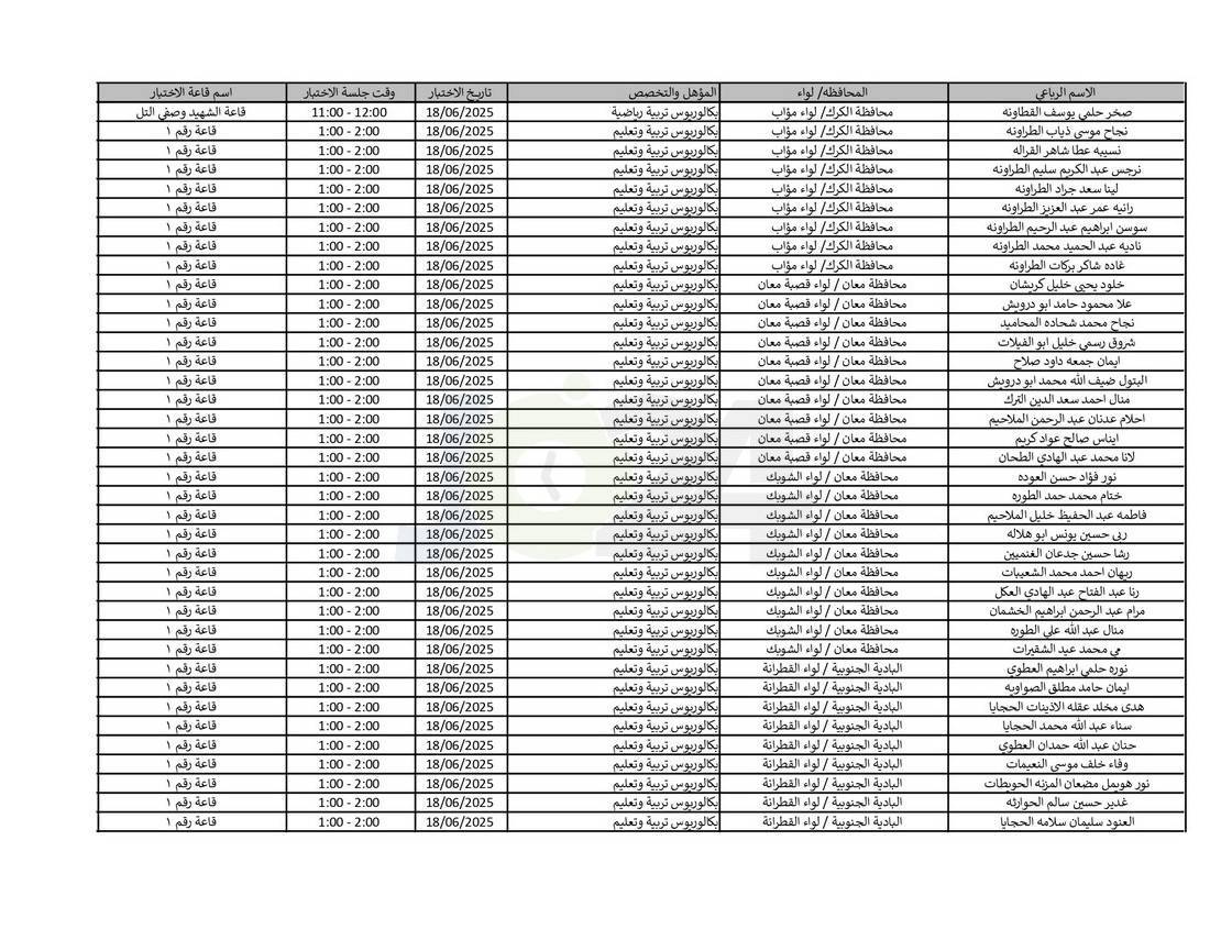
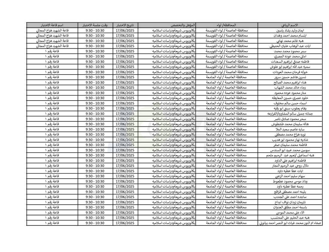
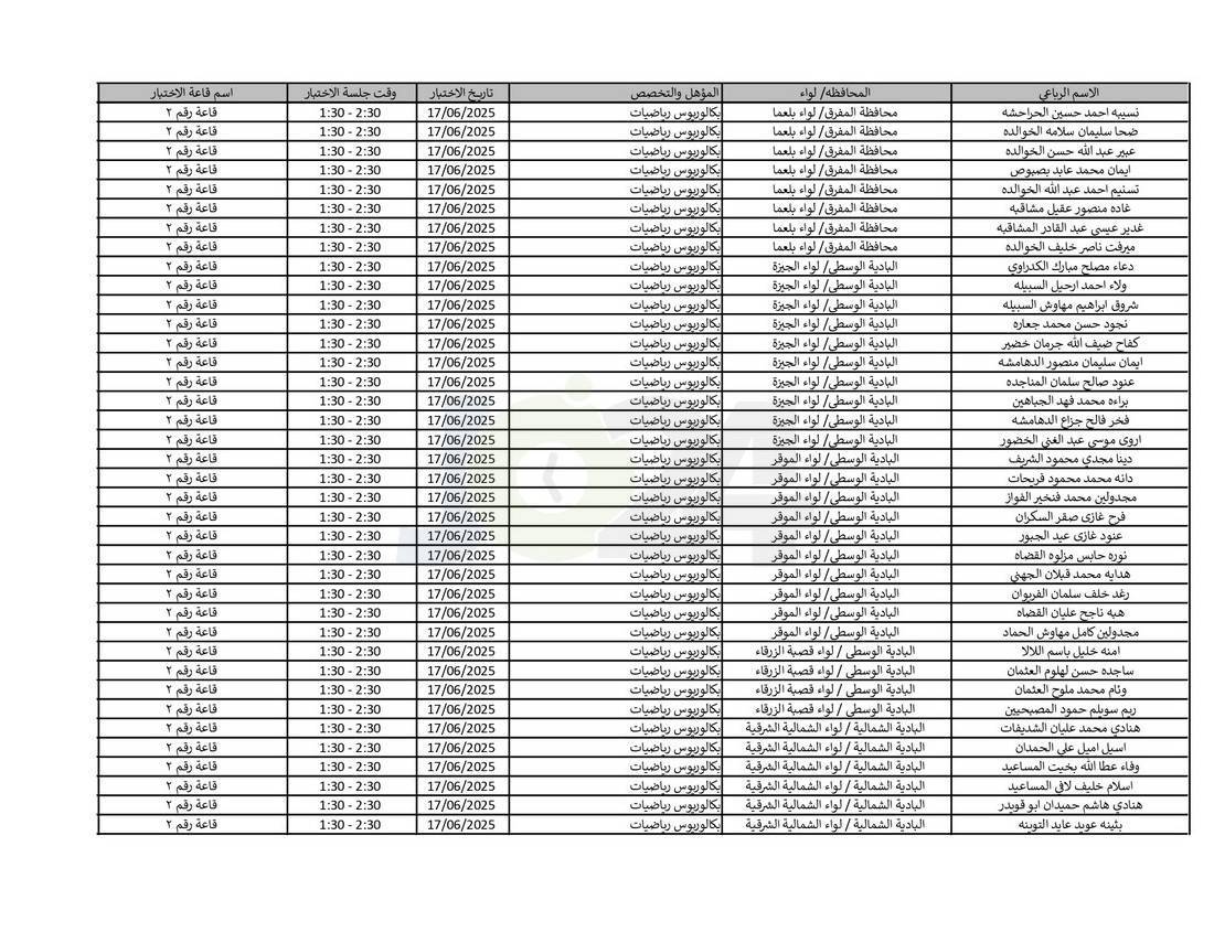
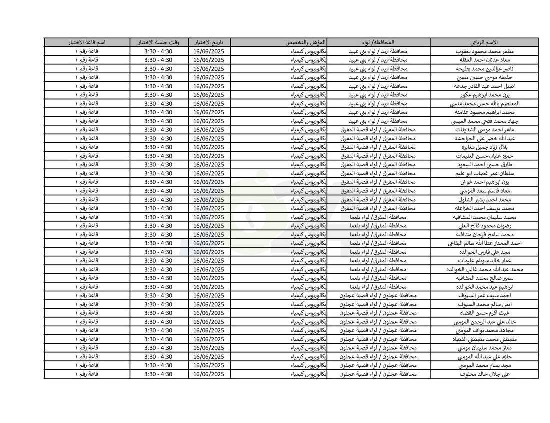
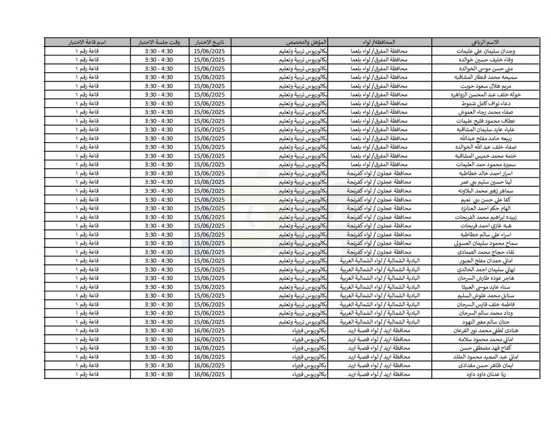
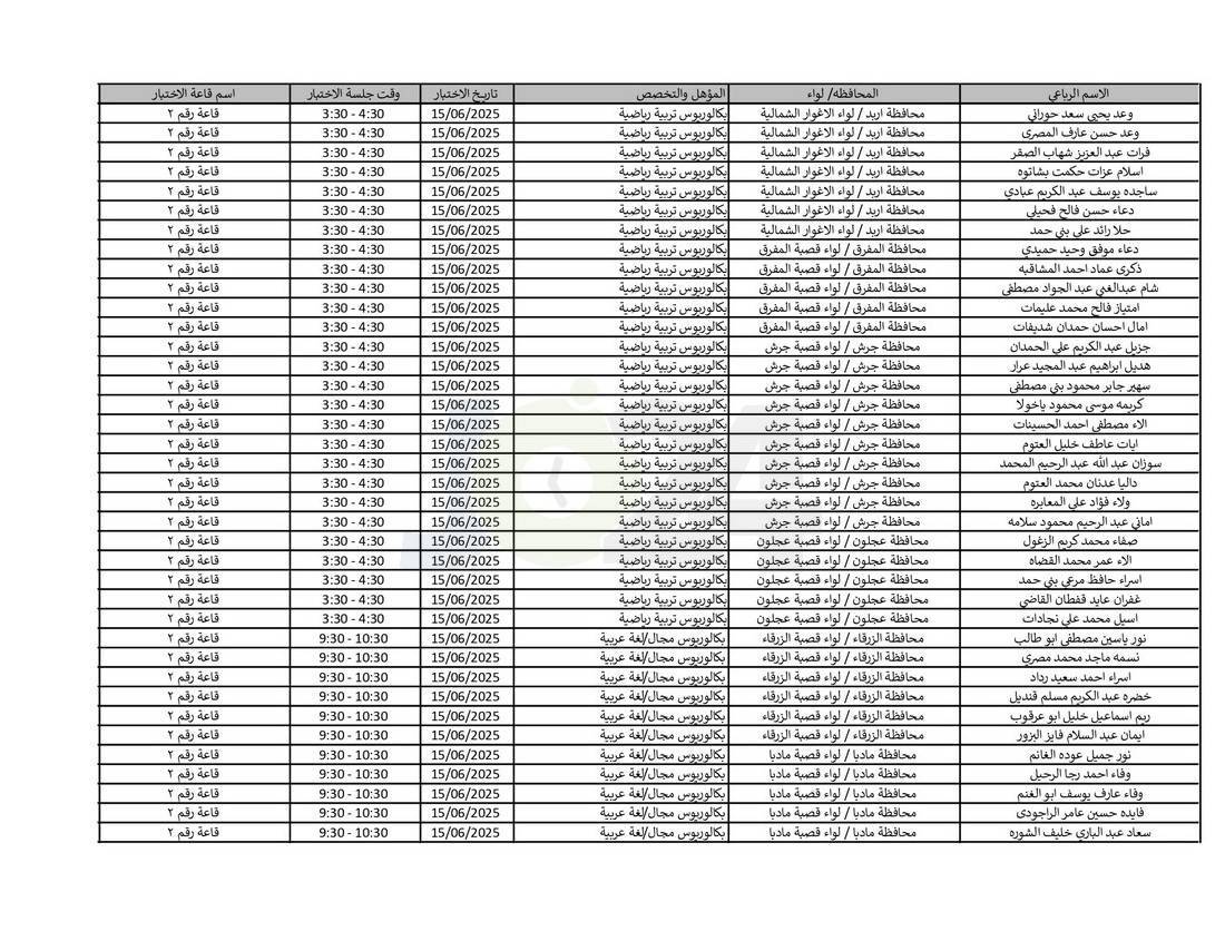
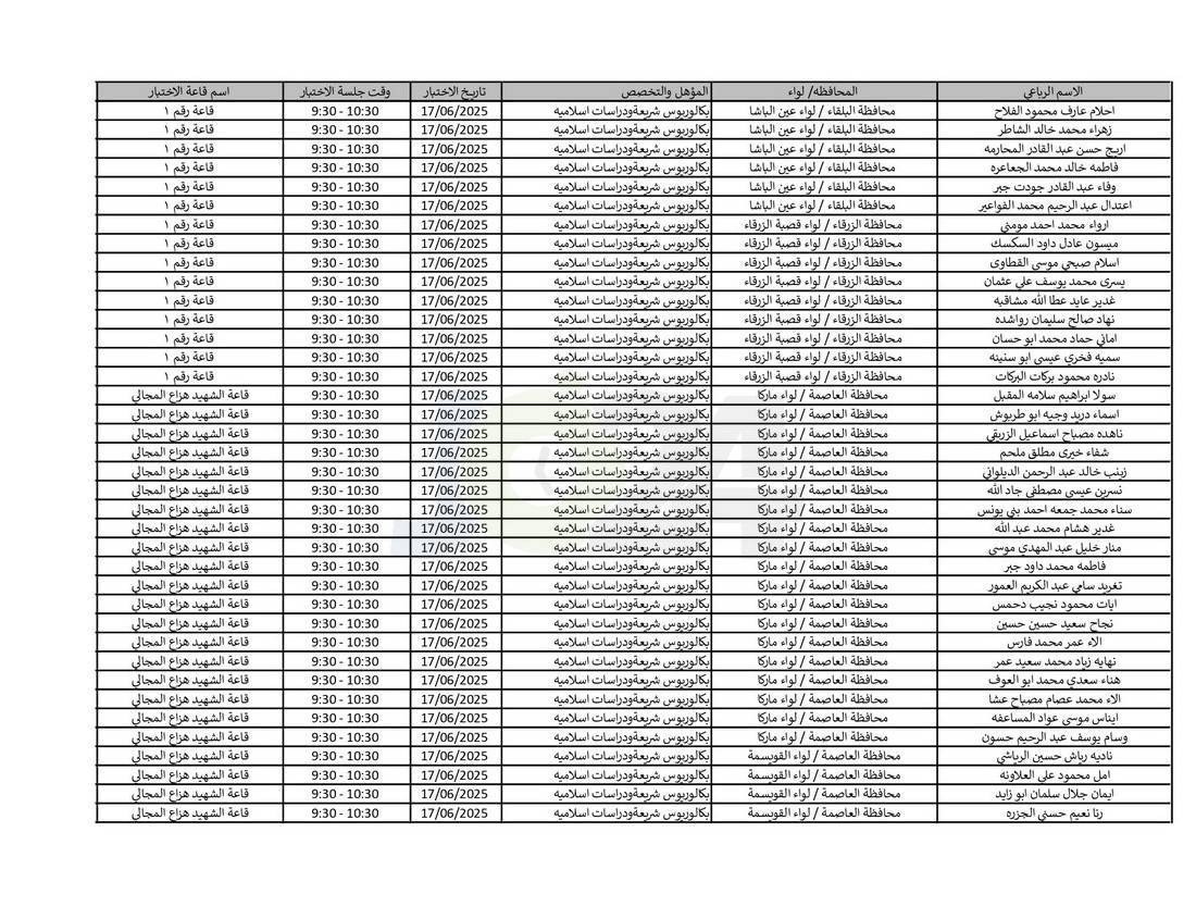
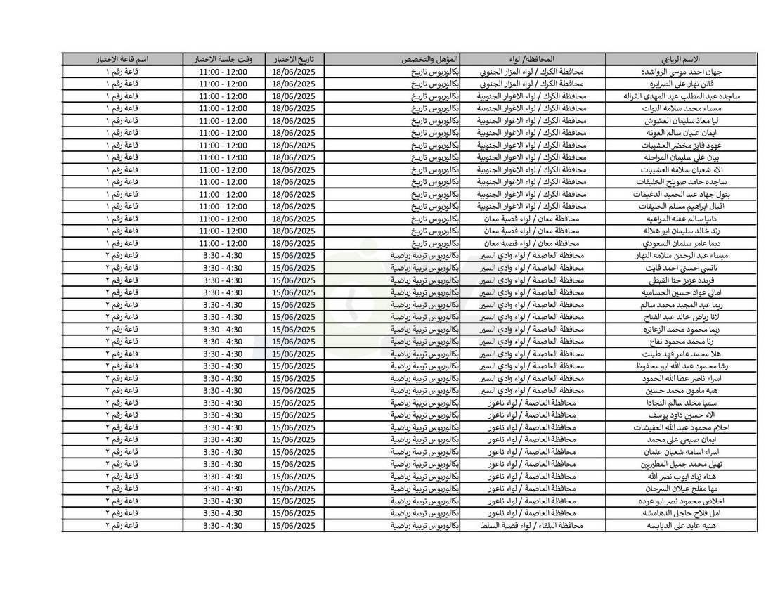
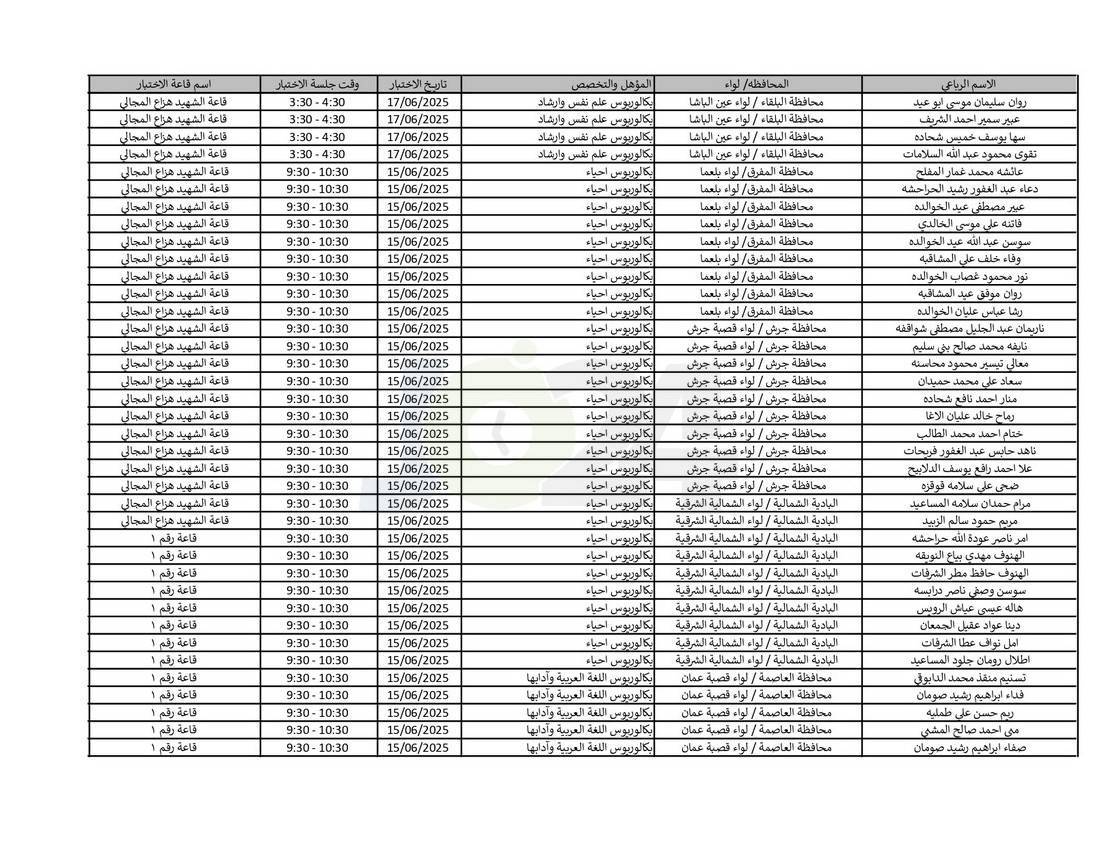
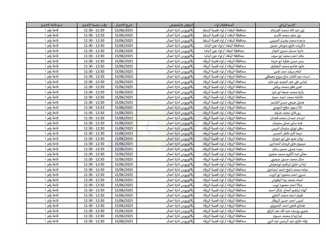
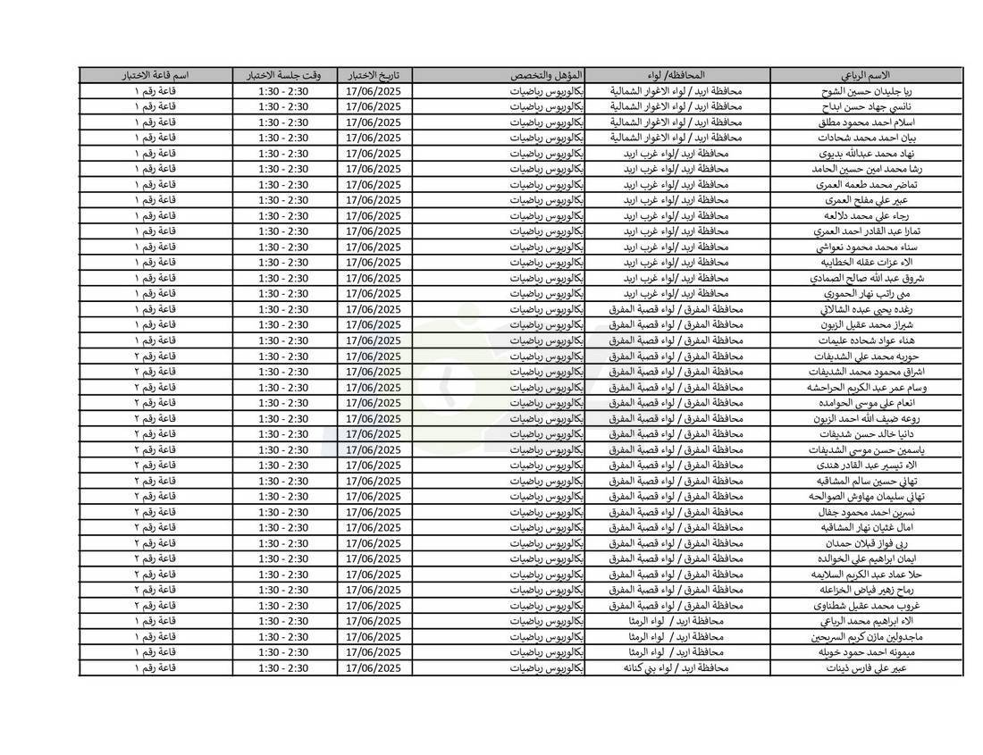
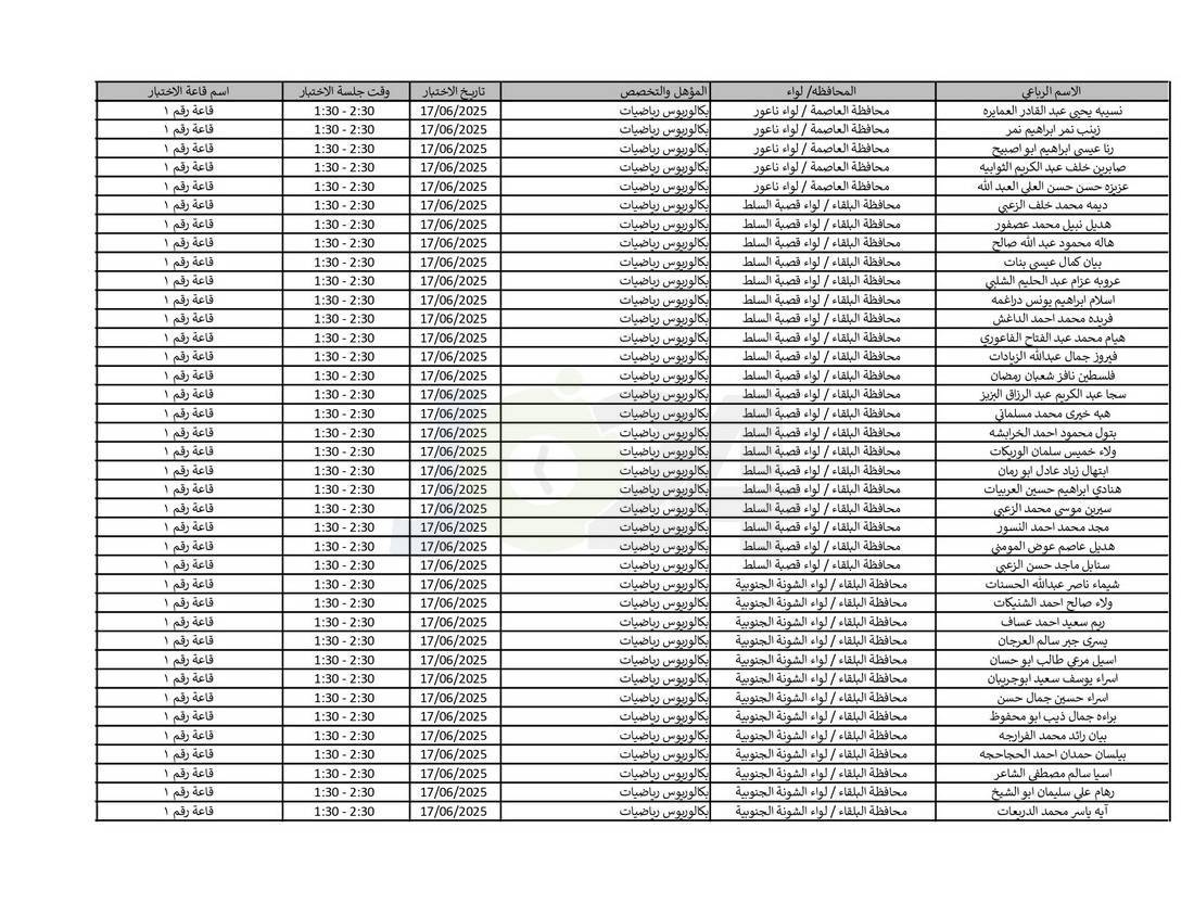
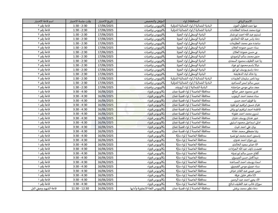
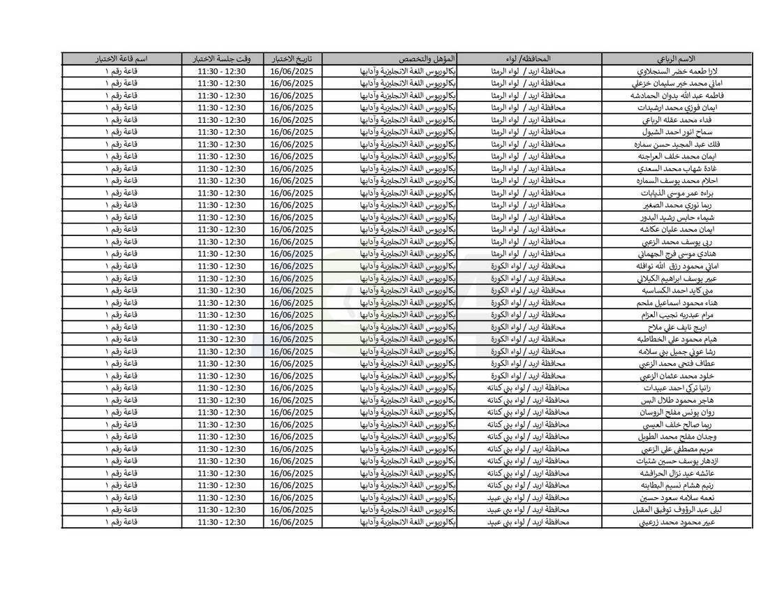
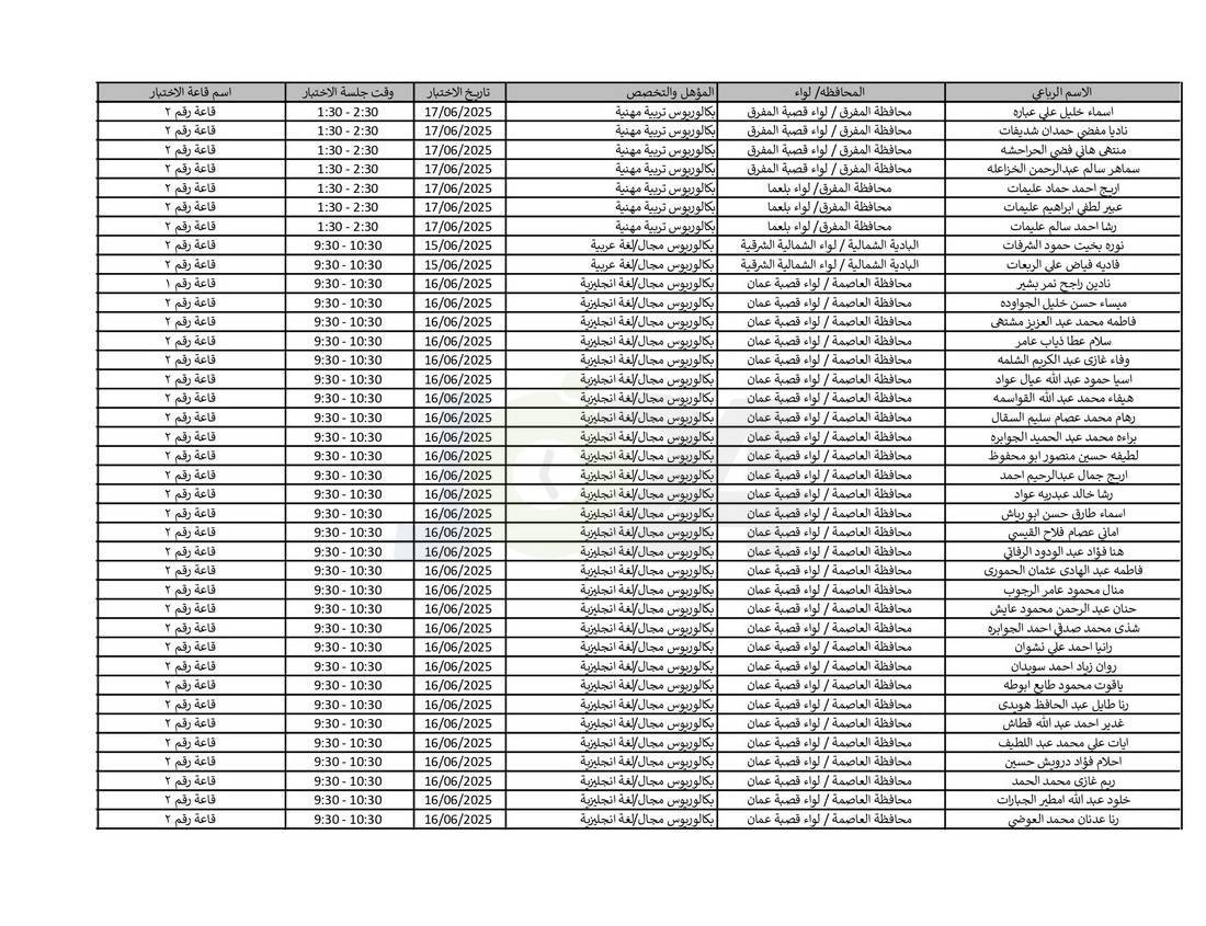
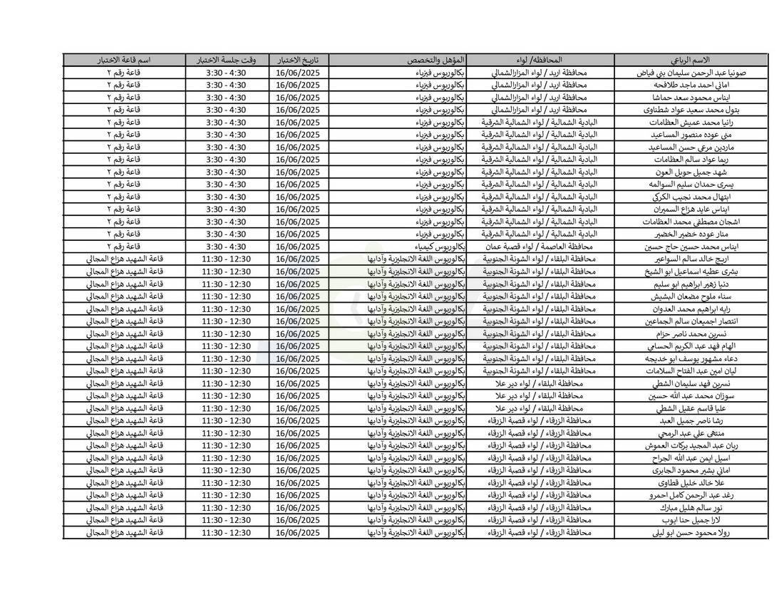
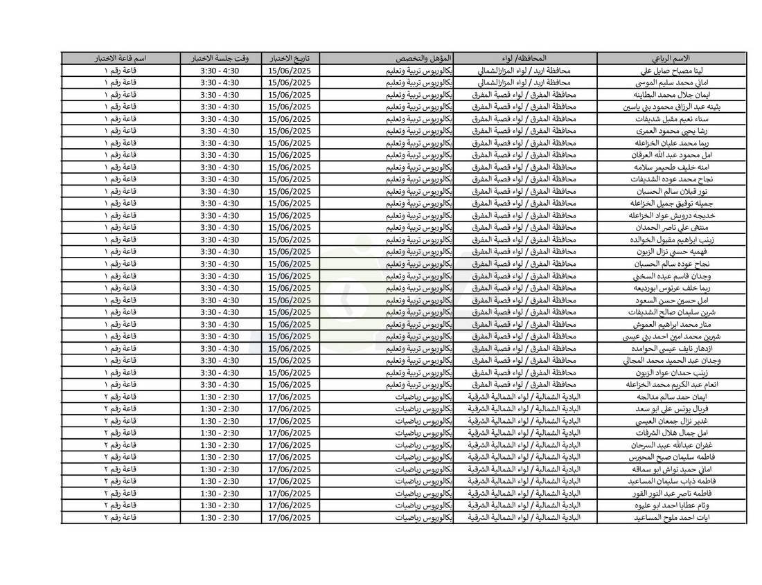
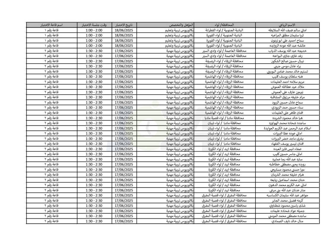
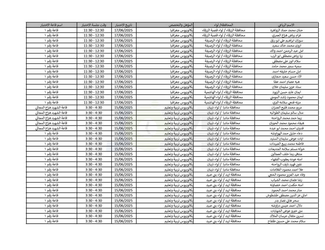
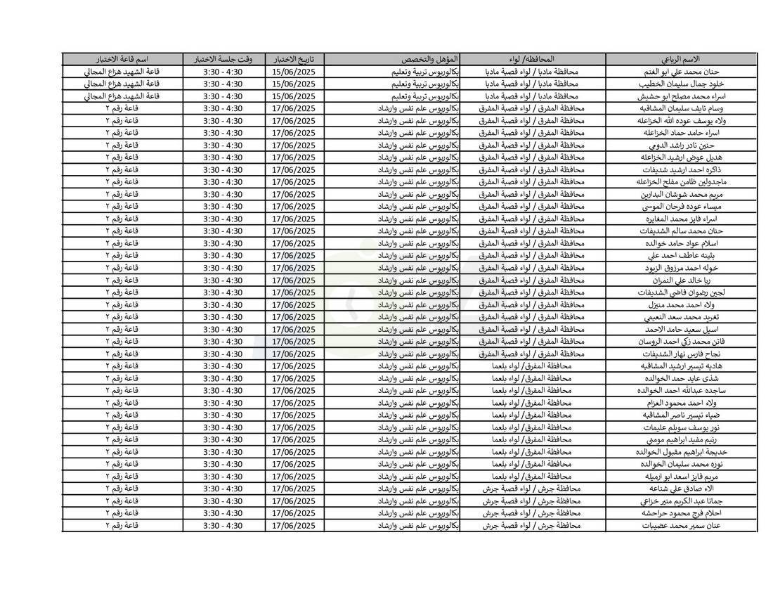
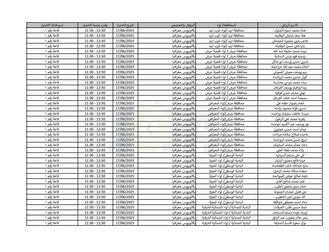
لمعرفة الإسم وموعد ووقت الجلسة واسم القاعة، يمكنك الدخول إلى موقع وزارة التربية والتعليم من خلال الرابط التالي:
أو من خلال القوائم المنشورة أدناه -أسفل المساحة الإعلانية-








